Introduction
Macrosegregation refers to a variation in chemical composition occurring during solidification, caused by unequal movements and localized accumulation of alloying elements within the material. This phenomenon is a major research challenge due to the significant impact it has on the mechanical properties and reliability of parts produced by solidification1.
While microsegregation occurs at the local scale, notably within dendrites or between primary cells, macrosegregation appears at the macroscopic scale of the ingot or cast part, compromising mechanical and metallurgical properties. These segregations represent a major industrial challenge, particularly in steel casting processes, where they can cause significant variations in the content of carbon of critical alloying elements, thereby affecting the mechanical performance of the material2,3.
Macrosegregation results from complex interactions between the formation of solid phases and mass transfers in the solidification zone. During the process, nucleation and growth of dendrites, with equiaxed or columnar morphology depending on local thermal gradients, lead to the formation of a mushy zone where solid and liquid phases coexist. In this zone, solute redistribution is influenced both by microsegregation, caused by differences in chemical affinity for the solid and liquid phases, and by convective movements, which promote redistribution on a larger scale4. Thus, macrosegregation is particularly pronounced in ingot casting processes, where large dimensions and complex thermal gradients amplify these coupled interactions. Among these, the most influential are notably:
- Thermosolutal convection4–9 induced by temperature and solute concentration gradients (see Figure 1(a));
- Solidification shrinkage4,9, generating compensating liquid flow toward the mushy zone (see Figure 1(b));
- Sedimentation of equiaxed grains8,10, which locally creates a negative segregation zone in the shape of a cone at the base of the ingot (see Figure 1(c));
- Finally, deformation of the mushy zone4, which acts like a sponge: under compression, it expels the enriched liquid outward, while under tension, external liquid can penetrate inside (see Figure 1(d)).

Figure 1: Schematic illustration of the main physical mechanisms involved in theformation of macrosegregation during solidification: (a) thermosolutal convection in the liquid, (b) solidification shrinkage, (c) sedimentation of equiaxed grains, and (d) mechanical deformation of the mushy zone.
Modelling macrosegregation thus requires a numerical tool capable of representing all these mechanisms involved during solidification in a coupled manner. To date, no single model allows the complete and predictive simultaneous description of all these coupled phenomena, especially for complex industrial configurations. The software THERCAST®, developed by Transvalor and through research at the Centre for Material Forming (CEMEF-MINES Paris PSL), aims to meet this challenge by progressively integrating these effects within a coherent and evolving simulation framework.
To achieve this, we adopted a progressive approach, beginning with the validation of the key thermosolutal convection mechanism in a decoupled manner, relying on solid foundations from literature and enriched in time. The reference case of Hebditch and Hunt11 served as a starting point to test the thermosolutal flow model on a simple andwell-controlled binary system, before extending it to more complex industrial configurations. This article presents the use of this reference case to validate the conventional macrosegregation model of THERCAST®, including an enhancement of the calculation of the heat capacity.
Macrosegregation model induced by thermosolutal convection
To model macrosegregation induced by thermosolutal convection in the liquid phase, the adopted model is based on several simplifications and relies on the coupled resolution of the conservation equations for momentum, mass, energy, and chemical species in the liquid phase. Within this simplified framework, solidification is assumed to be purely columnar, without the formation of equiaxed grains. The solid is considered fixed and rigid, and solidification shrinkage is not taken into account.
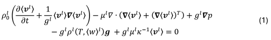
Fluid mechanics is described by the Navier-Stokes equation averaged over the liquid phase within a representative elementary volume9:

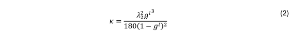
where ρ0l is the liquid density corresponding to the reference temperature Tref, ⟨vl⟩ is the average velocity field of the liquid, gl is the liquid fraction, p is the pressure field, g represents the gravity vector, ⟨w⟩l is the average solute concentration in the liquid phase, and κ is the Carman-Kozeny-type permeability, expressed as a function of the secondary dendrite arm spacing λ2:

The liquid density ρ0l is assumed to be constant, except in the gravity term where the Boussinesq approximation is applied:
![]()
where βT and βw are respectively the thermal and solutal expansion coefficients, while ⟨w⟩0l represents the nominal solute concentration in the liquid phase.
The liquid is assumed to be incompressible, so the mass conservation equation simplifies to:

Heat transfer during solidification is modeled by the energy conservation equation:

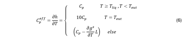
where λ is the thermal conductivity and Cpeff is the effective heat capacity, which includes the contribution of latent heat L according to Ahmad et al.12:

where Tliq is the liquidus temperature and Teut is the eutectic temperature.
The solid fraction gs is evaluated using the Brody-Flemings microsegregation model1 with a linear approximation of phase diagrams:

where k0 is the equilibrium partition coefficient, FOs is the Fourier number measuring solute diffusivity in the solid, and Tf represents the melting temperature of the pure element.
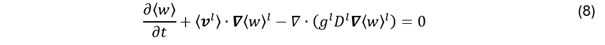
Finally, solute transport is governed by the following equation:
![]()
in which the diffusion of chemical species is considered negligible compared to convective transport and applies only to the liquid phase. The diffusive term gl Dl is only kept to numerically stabilize the solution. The Voller-Prakash variable separation method9 is then used to first calculate the unknown ⟨w⟩, and then to deduce ⟨w⟩l.
This model uses a system of coupled equations, solved by a weak coupling scheme where each variable is updated at every timestep without additional internal iterations.
Validation of the model with the classic binary case of Hebditch and Hunt
The first level of validation is based on thequasi-2D problem defined by Hebditch and Hunt11, in which the solidification of a binary alloy (Pb – 48 wt% Sn and Sn – 5 wt% Pb) is studied. This standard test case is carried out in a simple geometry with simplified boundary conditions. It consists of a parallelepipedal mold of dimensions 60 mm x 100 mm x 13 mm, as illustrated in Figure 2, into which the alloy is poured. The boundary conditions are defined based on the experiment. All mold walls are considered adiabatic, except for one lateral face on the left, which is subjected to a Fourier-type heat flux (see Figure 2). A zero liquid velocity and zero chemical flux are imposed on all walls. Thus, as solidification progresses, the overall solidification front advances from left to right. The thermophysical properties and alloy parameters for Pb – 48 wt% Sn and Sn – 5 wt% Pb used in the calculations are taken from the table presented in Ahmad et al.12

Figure 2: Schematic representation of the geometry and boundary conditions used in the simulation of the quasi-2D case study by Hebditch and Hunt.
In the historical version of THERCAST®, enthalpy and its derivative were calculated using a simplified approximation of the heat capacity, which could lead to inconsistencies, especially for alloys exhibiting pronounced Cp peaks. Building on literature references, we refined the model by systematically determining Cp from the variation of enthalpy with temperature (see Equation 6). This formulation allows for a more accurate representation of the analytical heat capacity within the solidification range and improves the consistency of macrosegregation predictions relative to literature.
To validate this improvement of the model, we first simulated macrosegregations with a fixed solid generated during the complete solidification of the binary alloy Pb – 48 wt% Sn, without undergoing a quenching step. The simulation results are presented in Figure 3 (a, b). Figure 3(a) shows the variation of the liquid fraction gl in the ingot after 50 s of cooling, compared to the solid volume fraction calculated using the finite element method (FEM) of Ahmad et al.12, shown in Figure 3(c). This comparison confirms the consistency of our results with those reported in the literature.
Figure 3(b) reveals the relative segregation of tin in the ingot after 400 s of solidification, defined by the following formula:
![]()
which expresses the relative variation of the tin mass composition ⟨wSn⟩ compared to its initial value ⟨wSn⟩0= 48 wt%. A positive value indicates local enrichment, while a negative value indicates depletion. The results obtained for the macrosegregations are in good agreement with data reported in the literature, reproduced in Figure 3(d).

Figure 3: Solidification maps of the binary alloy Pb – 48 wt% Sn, simulated using the improved THERCAST® model, showing: (a) the liquid volume fraction at 50s, and (b) the relative segregation of tin at 400 s, compared with (c,d) the FEM simulation results of Ahmad et al.12
We then conducted equivalent simulations for the binary alloy Sn – 5 wt% Pb, with the results presented in Figure 4 below. Figure 4(a) illustrates the variation of the liquid fraction glin the ingot after 100 s of cooling, compared to the solid volume fraction from the finite element simulation by Ahmad et al.12, reproduced in Figure 4(c). This comparison once again confirms the good agreement between our results and the reference data.
Figure 4(b) presents the relative segregation of lead, denoted as μseg, simulated after 400 s of solidification. This segregation is calculated using the following formula:

It expresses the relative variation of the average mass concentration of lead ⟨wPb⟩ compared to its initial value ⟨wPb⟩0 = 5 wt%. Our results show very good agreement with those obtained by the finite volume method (FVM) of Ahmad et al.12, which highlight well-defined segregation channels. This agreement is particularly noteworthy given that, inthe study of Bellet et al.13, these channels appear much less pronounced in the finite element results and only show a tendency toward their formation in a fully coupled approach. This comparison emphasizes the ability of our model to accurately reproduce complex macrosegregation phenomena described in the literature.

Figure 4: Solidification maps of the binary alloy Sn – 5 wt% Pb, simulated using the improved THERCAST® model, showing: (a) the liquid volume fraction at 100s, and (b) the relative segregation of lead at 400 s. These results arerespectively compared with the simulations of (c) the solid fraction (FEM) and (d) the relative lead segregation (FVM) from Ahmad et al.12
Conclusion
In this article, we have presented an improvement to the THERCAST® macrosegregation model by modifying the calculation method of the heat capacity, which is now determined analytically based on a rigorous formulation consistent with reference literature. This advancement has corrected previous approximations and improved the consideration of thermophysical variations during solidification. The enhanced model was validated on a benchmark test case, yielding satisfactory results in excellent agreement with published data. This progress confirms THERCAST®’s commitment to providing its users with increasingly precise and reliable simulation tools to support their most demanding industrial applications.
Stay tuned for our upcoming publications, which will reveal further enhancements of our model applied to even more ambitious industrial cases.
References
1. Rappaz, M. & Dantzig, J. A. Solidification.(EPFL Press, 2009).
2. Yan, G., Han, L., Li, C., Luo, X.& Gu, J. Effect of macrosegregation on the microstructure and mechanical properties of a pressure-vessel steel. Metallurgical and Materials Transactions A 48, 3470–3481 (2017).
3. Pickering, E. & Bhadeshia, H. Macrosegregation and microstructural evolution in a pressure-vessel steel. Metallurgical and MaterialsTransactions A 45,2983–2997 (2014).
4. Rivaux, B. Simulation 3D éléments finis des macroségrégations en peau induites par déformations thermomécaniques lors de la solidification d’alliages métalliques.(2011).
5. Gouttebroze, S. Modélisation 3D par éléments finis de la macroségrégation lors de la solidification d’alliages binaires. (2005).
6. Liu, W. Modélisation par éléments finis des phénomènes thermomécaniques et de macroségrégation dans les procédés de solidification. Thèse de doctorat, Ecole Nationale Supérieure des Mines de Paris (2005).
7. Carozzani, T. Développement d’un modèle 3D Automate Cellulaire-Éléments Finis (CAFE) parallèle pour la prédiction de structures de grains lors de la solidification d’alliages métalliques. (2012).
8. Nguyen, T.-T.-M. Multiscale finite element modeling of macrosegregation and grain transport. Thèse de doctorat, Ecole Nationale Supérieure des Mines de Paris (2015).
9. Saad, A. Modélisation par level set des macroségrégations induites par le retrait à la solidification. (2016).
10. Ettroudi, H. Modélisation numérique multi-échelle des structures de solidification, de la macroségrégation et de la Transition Colonnaire-Equiaxe. Thèse de doctorat, Ecole Nationale Supérieure des Mines de Paris (2021).
11. Hebditch, D. J. & Hunt, J. D. Observations of ingot macrosegregation on model systems. Metallurgicaltransactions 5, 1557–1564 (1974).
12. Ahmad, N. et al. Numerical simulation of macrosegregation: a comparison between finite volume method and finite element method predictions and a confrontation with experiments. Metallurgical and Materials Transactions A 29, 617–630 (1998).
13. Bellet, M., Fachinotti, V., Gouttebroze, S., Liu, W. & Combeau, H. A 3D-fem model solving thermomechanics and macrosegregation in binary alloys solidification. Symposiumon Solidification Processes and Microstructures, in Honor of Wilfried Kurz, TMS Annual Meeting 41–46 (2004).



